Maximum Entropy Model
Maximum Entropy Model ( = Maxent Model )
* c = class, d = document
1. Joint, Generative Model : P(c,d)
이 class에 해당하면 어떤 document를 생성하는가?
(ex) N-gram, Naive Bayes

2. Conditional, Discriminative Model : P( c | d )
이 document면 어떤 class에 속할까?
(ex) Logistic Regression, Maximum Entropy Model

Feature의 예시
첫 번째 feature = class가 LOCATION이고 target 직전 단어가 in이며 target 단어가 대문자로 쓰이면 1, 아니면 0 (binary)
feature가 반환하는 binary 값과 weight (lambda)가 곱해짐

Empirical Count (실제 데이터에서 특정 feature가 해당 class에 나타난 빈도)

Model Expectation

Feature-Based Linear Classifier
각 feature * weight 의 값이 가장 큰 class 선택

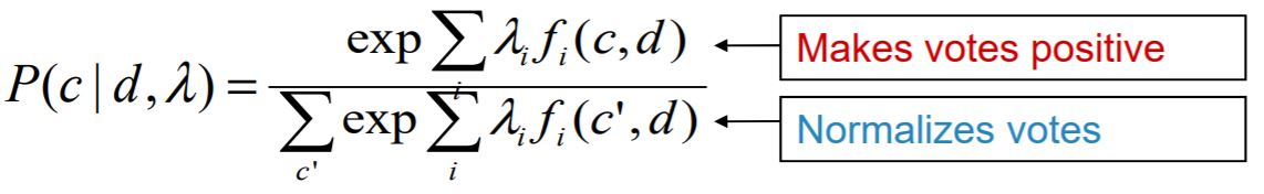
Exponential Model
조건부 확률을 최대화 하는 weight(lambda) 값 찾기

Naive Bayes vs Maxent Model
Naive Bayes 성능이 안 좋은 이유 : 각 feature가 독립적이라 가정한다. 그래서 독립적이지 않은 feature를 double count하게 된다
Maxent Model은 feature에 weight를 주기 때문에 double count 된다고 해도 weight 나눠 가져서 성능 좋음
Maxent Model
이 log 값을 최대로 만드는 parameter (lambda) 를 찾아야 함.

* log 사용 이유
① 곱셈 계산 빨리하기 ② convexity (not 울퉁불퉁 → global min/max 찾을 수 있어서 경사하강법 사용 가능)
Gradient Descent를 쓰기 위해 미분하면 분자는 empirical count, 분모는 model prediction이 됨
∴ 미분 값 = (empirical count) - (model prediction)

이 미분 값이 0이어야 원래 수식이 최대값을 가짐.
∴ (empirical count) = (model prediction) 여야 한다.
1) 우선 모든 feature가 동일한 확률은 갖는다고 가정하기 (uniform distribution) ∴ entropy가 최대인 상태
* uniform distribution을 가정하기 때문에 over-fitting 방지 가능
2) 실제 데이터 참고하면서 feature (constraints) 추가하기. 이때도 feature 내에선 uniform distribution 가정.
→ feature(constraints) 추가하며 entropy 낮춰가기 ( = 확률은 높아져감)

(예제)
주어진 실제 데이터
| NN | NNS | NNP | NNPS | VBZ | VBD |
| 3 | 5 | 11 | 13 | 3 | 1 |
Maxent Model 적용하기
1) 우선 모두 같은 확률이라 가정
| NN | NNS | NNP | NNPS | VBZ | VBD |
| 1/6 | 1/6 | 1/6 | 1/6 | 1/6 | 1/6 |
2) N으로 시작하는 것이 V로 시작하는 것보다 많다. N에 좀 더 높은 확률 배정해주되, N 안에서는 확률이 모두 같아야 한다
| NN | NNS | NNP | NNPS | VBZ | VBD |
| 8/(32+4) | 8/(32+4) | 8/(32+4) | 8/(32+4) | 2/(32+4) | 2/(32+4) |
* N의 빈도 = 3+5+11+13 = 32 ∴ N들의 확률 총 합은 32/(32+4). 그런데 uniform distribution이므로 이 확률을 4로 나눔. (N 종류가 4개니까)
* V의 빈도 = 3+1 = 4 ∴ V들의 확률 총 합은 4/(32+4). 그런데 uniform distribution이므로 이 확률을 2로 나눔. (V 종류가 2개니까)
3) N 중에 P 들어가는 것들이 안 들어가는 것보다 더 많다. NP에 좀 더 높은 확률 배정해주되, NP 안에서는 확률이 모두 같아야 한다
| NN | NNS | NNP | NNPS | VBZ | VBD |
| 4/(32+4) | 4/(32+4) | 12/(32+4) | 12/(32+4) | 2/(32+4) | 2/(32+4) |
* NN의 빈도 = 3+5=8 ∴ NN들의 확률 총 합은 8/(32+4). 그런데 uniform distribution이므로 이 확률을 2로 나눔. (NN종류가 2개니까)
* NP의 빈도 = 11+13=24 ∴ NP들의 확률 총 합은 24/(32+4). 그런데 uniform distribution이므로 이 확률을 2로 나눔. (NP종류가 2개니까)
출처 : http://ling.snu.ac.kr/class/AI_Agent/lecture/03-3-Maximum_Entropy_Classifiers_All_new.pdf