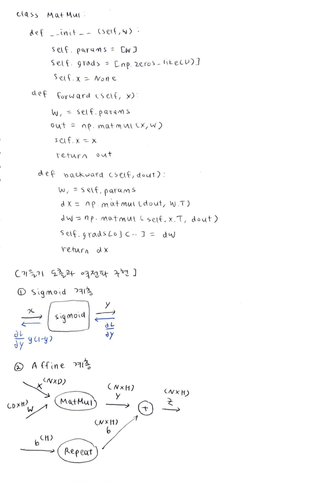
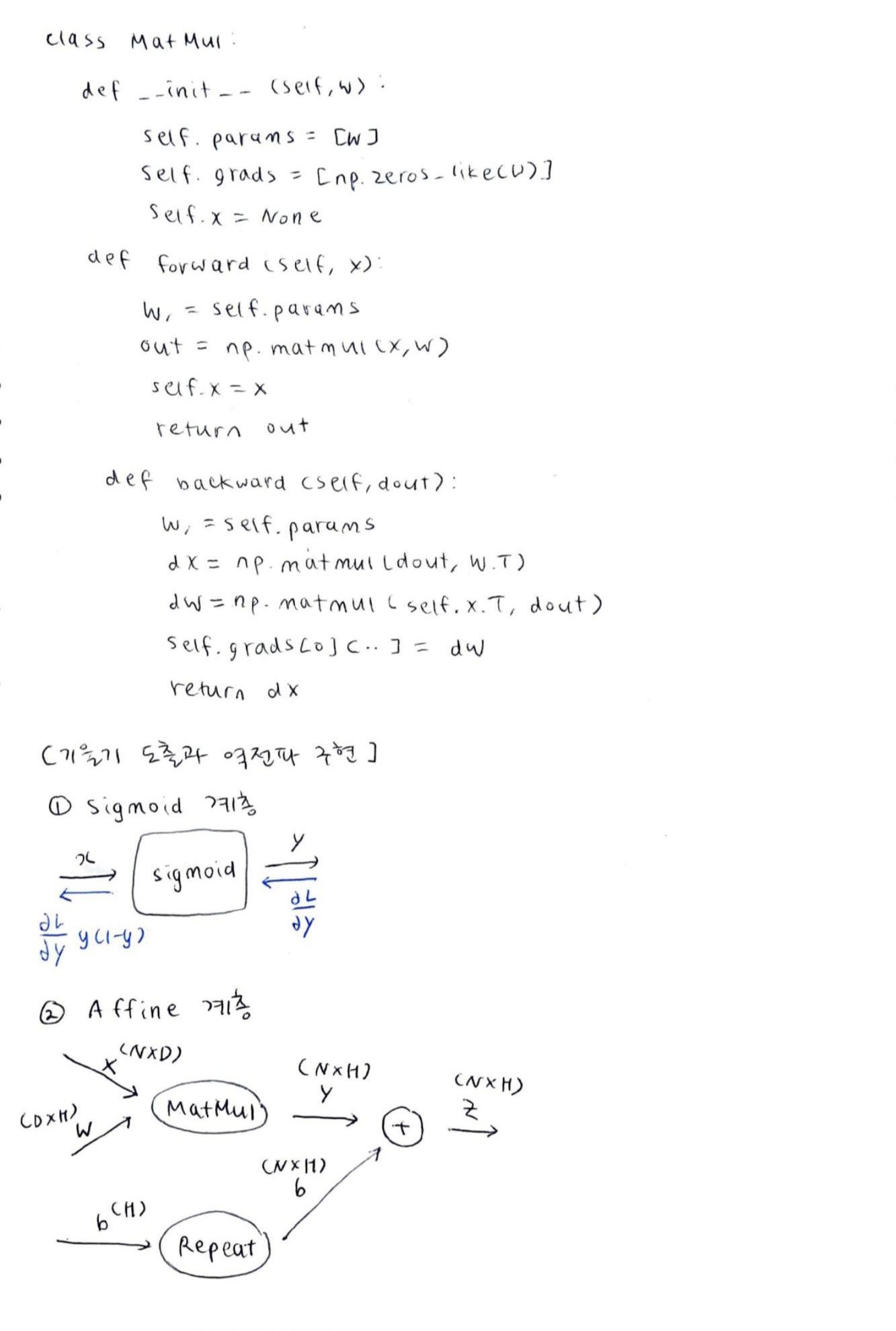
밑바닥부터 시작하는 딥러닝 2권 : Chapter 1-2
2020. 1. 24. 10:40ㆍnlp
반응형







반응형
'nlp' 카테고리의 다른 글
| 밑바닥부터 시작하는 딥러닝 2권 : Chapter 5-6 [RNN] (0) | 2020.02.02 |
|---|---|
| 밑바닥부터 시작하는 딥러닝 2권 : Chapter 3-4 [word2vec] (0) | 2020.01.26 |
| 밑바닥부터 시작하는 딥러닝 1권 : Chapter 7 [CNN] (0) | 2019.12.27 |
| 밑바닥부터 시작하는 딥러닝 1권 : Chapter 5-6 [오차역전파법 및 학습] (0) | 2019.12.27 |
| 밑바닥부터 시작하는 딥러닝 1권 : Chapter 2-4 [퍼셉트론과 신경망] (0) | 2019.12.24 |