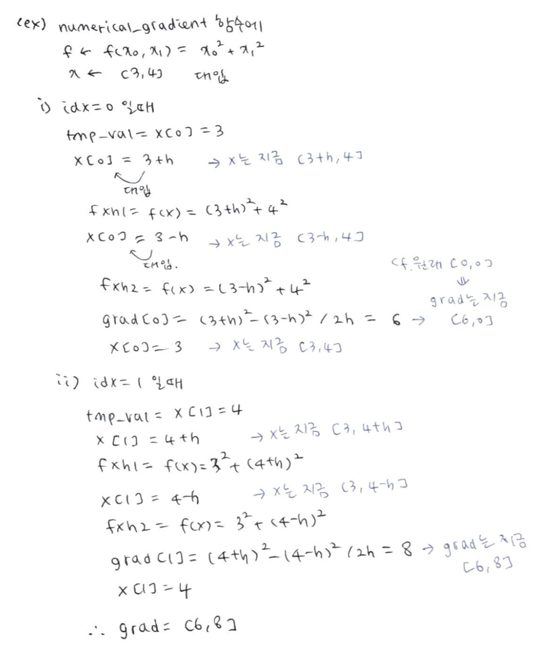
밑바닥부터 시작하는 딥러닝 1권 : Chapter 2-4 [퍼셉트론과 신경망]
2019. 12. 24. 17:24ㆍnlp
반응형










반응형
'nlp' 카테고리의 다른 글
| 밑바닥부터 시작하는 딥러닝 1권 : Chapter 7 [CNN] (0) | 2019.12.27 |
|---|---|
| 밑바닥부터 시작하는 딥러닝 1권 : Chapter 5-6 [오차역전파법 및 학습] (0) | 2019.12.27 |
| Maximum Entropy Model (0) | 2019.12.04 |
| Entropy (0) | 2019.12.04 |
| Vector Semantics (0) | 2019.12.04 |