2019. 11. 8. 22:53ㆍkhan
Linear Algebra > Vectors and Spaces > Subspaces and the basis for a subspace 부분을 정리한 것.
https://www.khanacademy.org/math/linear-algebra/vectors-and-spaces#subspace-basis
Vectors and spaces | Linear algebra | Math | Khan Academy
If you're seeing this message, it means we're having trouble loading external resources on our website. If you're behind a web filter, please make sure that the domains *.kastatic.org and *.kasandbox.org are unblocked.
www.khanacademy.org

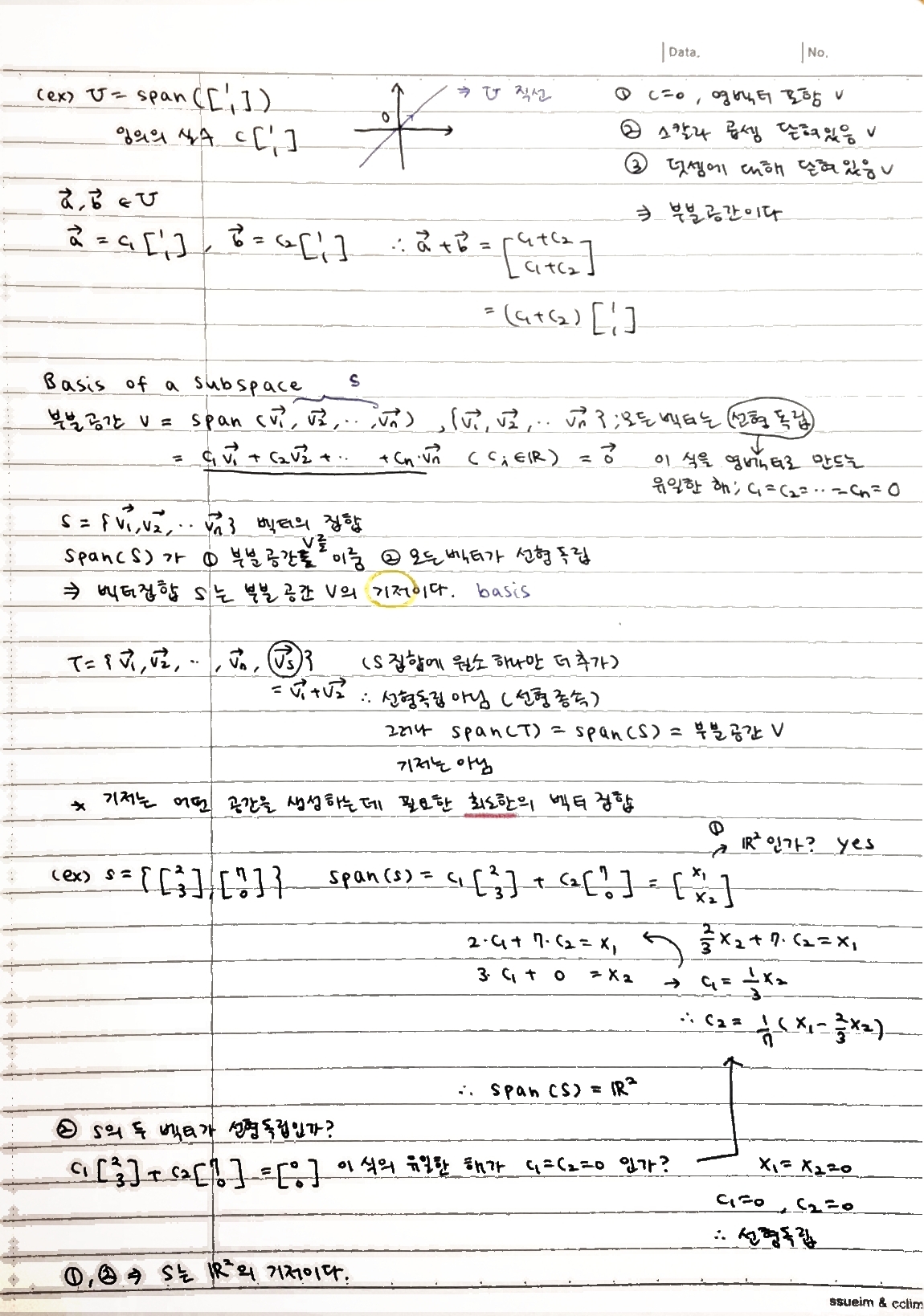
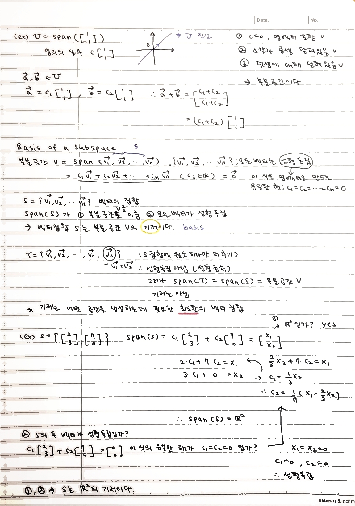
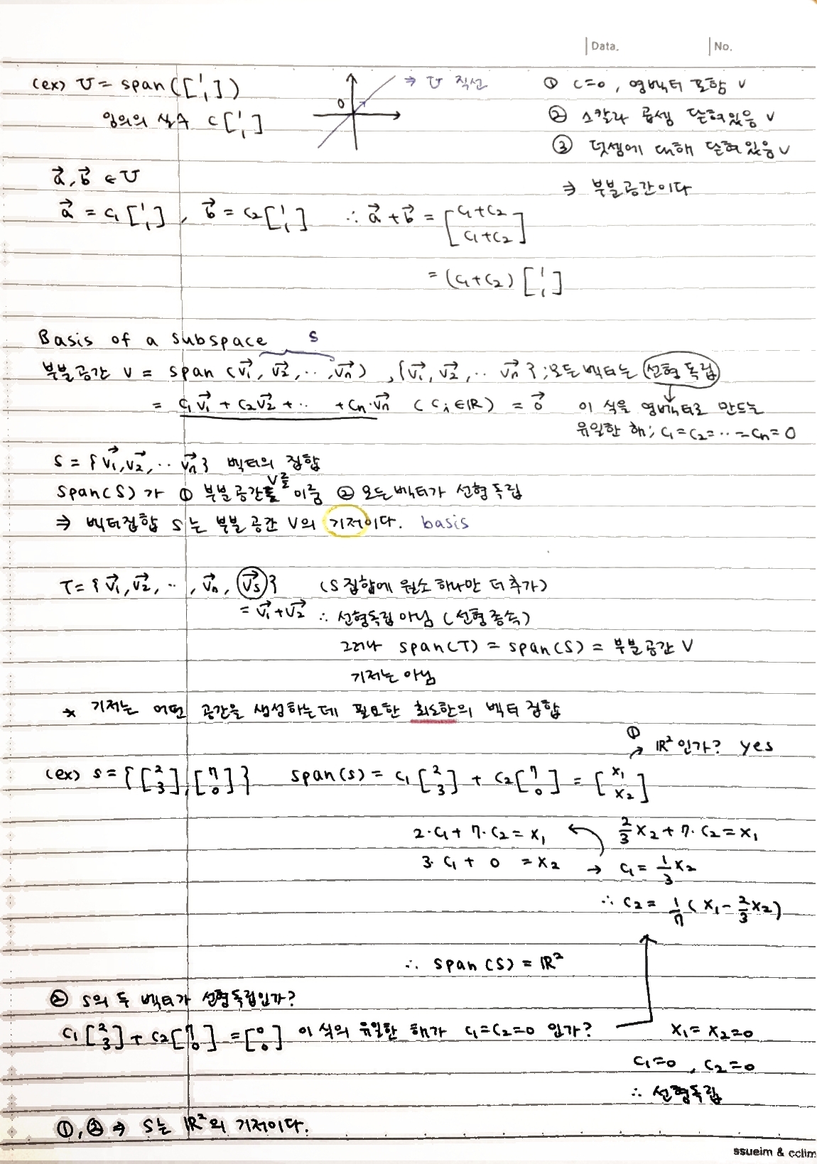
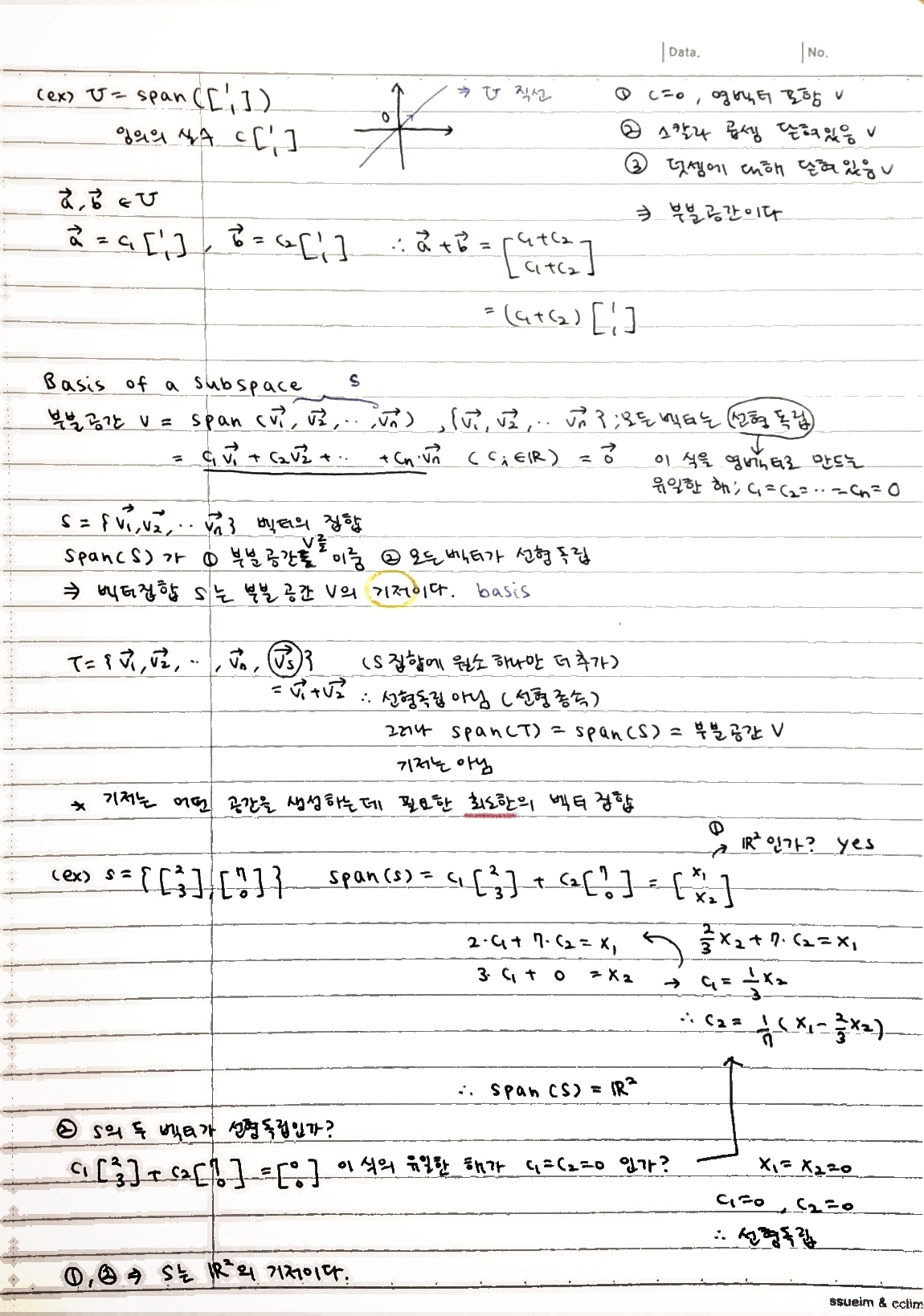
벡터의 집합 V가 R^n의 부분공간이라면
1) V는 영벡터를 포함한다
2) V의 원소인 벡터 x와 임의의 상수 c에 대해 c*x도 V의 원소다 (= 스칼라 곱셈에 대해 닫혀 있다)
3) V의 원소인 벡터 a,b에 대해 a+b도 V의 원소다 (= 덧셈에 대해 닫혀 있다)
임의의 벡터의 생성은 유효한 부분공간이다.
벡터의 집합 S가 부분공간 U의 기저라면
1) span(S)가 부분공간을 이룬다
2) S의 원소인 모든 벡터가 선형독립이다 *
* 기저는 어떤 공간을 생성하는데 필요한 최소한의 벡터 집합
하나의 부분공간에 다양한 기저가 있을 수 있다
표준 기저 집합
→ 표준 기저 집합의 원소인 벡터들의 조합을 이용해 부분공간 내 어떤 벡터라도 표현할 수 있다
벡터의 집합 S가 부분공간 U의 기저라면
U의 원소인 벡터 a에 대해 a는 S의 특유한 선형결합으로만 나타낼 수 있다 (오직 한 가지 선형결합으로만 표현 가능)




'khan' 카테고리의 다른 글
| 칸 아카데미로 딥러닝을 위한 수학 공부하기 | Vector dot and cross products (2) (0) | 2019.11.18 |
|---|---|
| 칸 아카데미로 딥러닝을 위한 수학 공부하기 | Vector dot and cross products (1) (0) | 2019.11.15 |
| 칸 아카데미로 딥러닝을 위한 수학 공부하기 | Linear dependence and independence (0) | 2019.11.04 |
| 칸 아카데미로 딥러닝을 위한 수학 공부하기 | Linear Combinations and Spans (0) | 2019.10.30 |
| 칸 아카데미로 딥러닝을 위한 수학 공부하기 | Vectors (0) | 2019.10.28 |