2019. 12. 4. 14:58ㆍnlp
Text Classification
1. 명시적 코딩
2. 감독학습
2.1. Generative / Joint Model (ex) Naive Bayes, Language Model
2.2. Discriminative / Conditional Mdoel (ex) Logistic Regression, Maximum Entropy Model
Naive Bayes(=NB)의 2가지 가정
1) Bag of Words(=BoW) : 단어의 순서는 중요하지 않다
2) 각 feature는 모두 독립적이다
[ NB 수식 ]
* d = document(글), c = class(종류) , f = feature(특징적 요소)




[ NB 계산하기 ]

1) 단순 count

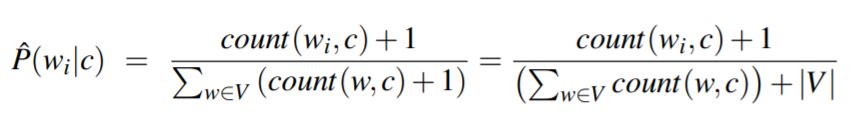
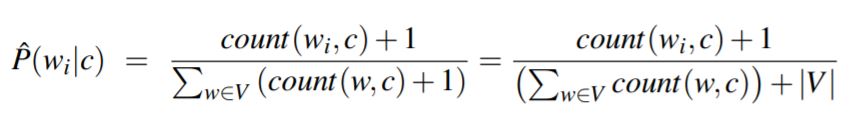
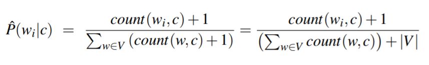
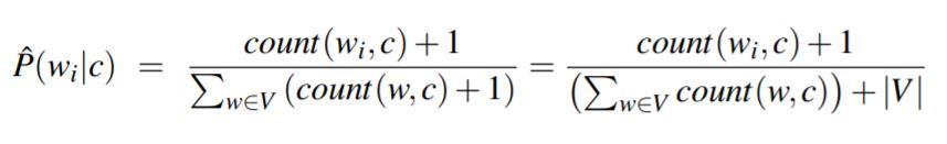
2) Add-one Smoothing

특정 class에 나타난 특정 feature의 횟수를 한 번 더 본 셈 치기
분모의 |V|는 모든 class에 나타난 feature의 개수(중복없이, set(feature))
※ 출처
1) 글 버전
2) PPT 버전
'nlp' 카테고리의 다른 글
| Entropy (0) | 2019.12.04 |
|---|---|
| Vector Semantics (0) | 2019.12.04 |
| Language Modeling (0) | 2019.12.04 |
| Minimum Edit Distance (0) | 2019.12.04 |
| 정규표현식 정리 (0) | 2019.12.04 |